Вопрос:

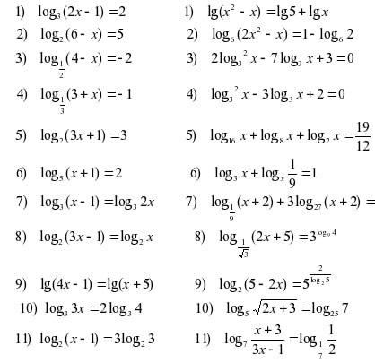
9) $$lg(4x-1)=lg(x+5)$$

Смотреть решения всех заданий с листа

Ответ:

Для решения логарифмического уравнения $$lg(4x-1)=lg(x+5)$$ используем свойство равенства логарифмов с одинаковым основанием:

$$4x-1 = x+5$$

$$4x-x = 5+1$$

$$3x = 6$$

$$x = 2$$

Проверим, входит ли найденное значение в область определения логарифма:

$$4x-1 > 0$$

$$4 \cdot 2 - 1 > 0$$

$$7 > 0$$

Неравенство выполняется.

$$x+5 > 0$$

$$2+5 > 0$$

$$7 > 0$$

Неравенство выполняется, значит, x=2 является решением уравнения.

Ответ: $$x=2$$

ГДЗ по фото 📸
Подать жалобу Правообладателю

Похожие