Новые
Конспекты уроков
Таблицы
Банк заданий
Диктанты
Сочинения
Изложения
Краткие содержания
Читательский дневник
Блог
11 класс
Алгебра
Английский
Биология
География
Геометрия
История
Русский
10 класс
Алгебра
Английский
Биология
География
Геометрия
История
Обществознание
Русский
Физика
Химия
9 класс
Алгебра
Английский
Биология
География
Геометрия
Информатика
История
Литература
Математика
Обществознание
Русский
Физика
Химия
8 класс
Алгебра
Английский
Биология
География
Геометрия
Информатика
История
Литература
Математика
Обществознание
Русский
Физика
Химия
7 класс
Алгебра
Английский
Биология
География
Геометрия
Информатика
История
Литература
Математика
Обществознание
Русский
Физика
6 класс
Английский
Биология
География
Информатика
История
Литература
Математика
Обществознание
Русский
5 класс
Английский
Биология
География
Информатика
История
Литература
Математика
Обществознание
Русский
4 класс
Английский
Окр. мир
Информатика
Литература
Математика
Русский
3 класс
Английский
Окр. мир
Информатика
Литература
Математика
Русский
2 класс
Английский
Окр. мир
Литература
Математика
Русский
ГДЗ по фото 📸
Диктанты
Таблицы
Сочинения
Анализ стихотворения
Изложения
Краткие содержания
Читательский дневник
Биография автора
Конспекты уроков
Банк заданий
Пословицы
Блог
Контрольные задания
>
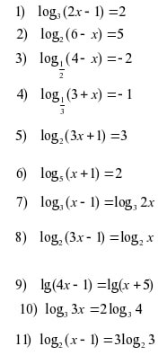
3) log₁/₂ (4-x)=-2
Вопрос:
3) log₁/₂ (4-x)=-2
Смотреть решения всех заданий с листа
Ответ:
3) Решим уравнение $$log_{\frac{1}{2}} (4 - x) = -2$$.
Преобразуем уравнение, используя определение логарифма: $$4 - x = (\frac{1}{2})^{-2}$$
Упростим: $$4 - x = 2^2$$
$$4 - x = 4$$
Решим полученное уравнение: $$-x = 0$$
$$x = 0$$
Ответ:
$$x = 0$$
ГДЗ по фото 📸
👍
👎
Подать жалобу Правообладателю
ФИО:
Телефон:
Емаил:
Полное описание сути нарушения прав (почему распространение данной информации запрещено Правообладателем):
Похожие
1) log3 (2x-1)=2
2) log2 (6x) =5
4) log₁/₃ (3+x)=-1
5) log2(3x+1)=3
6) logs (x+1)=2
7) log (x-1)=log, 2x
8) log2 (3x-1) =log, x
9) lg(4x-1)=lg(x+5)
10) log, 3x =2log, 4
11) log2(x-1)=3log, 3