
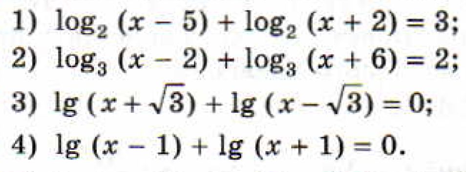
1) log2 (x-5) + log2 (x + 2) = 3;
Область определения:
x > 5
Используем свойство логарифмов: loga(b) + loga(c) = loga(b * c)
log2((x - 5)(x + 2)) = 3
(x - 5)(x + 2) = 23
x2 + 2x - 5x - 10 = 8
x2 - 3x - 18 = 0
Решаем квадратное уравнение:
D = b2 - 4ac = (-3)2 - 4 * 1 * (-18) = 9 + 72 = 81
x1 = (-b + √D) / (2a) = (3 + √81) / (2 * 1) = (3 + 9) / 2 = 12 / 2 = 6
x2 = (-b - √D) / (2a) = (3 - √81) / (2 * 1) = (3 - 9) / 2 = -6 / 2 = -3
Проверяем корни на соответствие области определения (x > 5):
Ответ: 6