
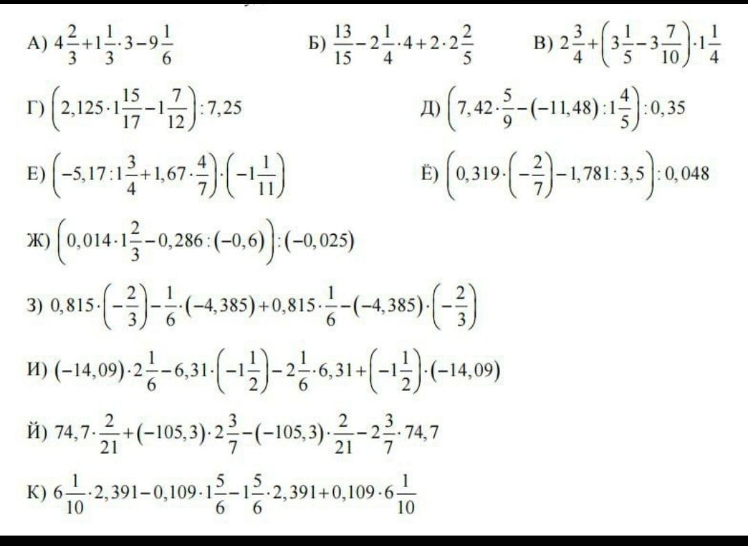
Ё) Выполним действия:
1) $$0,319 \cdot \left(-\frac{2}{7}\right) = \frac{319}{1000} \cdot \left(-\frac{2}{7}\right) = \frac{319}{500} \cdot \left(-\frac{1}{7}\right) = -\frac{319}{3500}$$
2) $$1,781 : 3,5 = \frac{1781}{1000} : \frac{35}{10} = \frac{1781}{1000} \cdot \frac{10}{35} = \frac{1781}{100} \cdot \frac{1}{35} = \frac{1781}{3500}$$
3) $$\left(-\frac{319}{3500}\right) - \frac{1781}{3500} = \frac{-319 - 1781}{3500} = \frac{-2100}{3500} = -\frac{21}{35} = -\frac{3}{5}$$
4) $$0,048 = \frac{48}{1000} = \frac{6}{125}$$
5) $$\left(-\frac{3}{5}\right) : \frac{6}{125} = -\frac{3}{5} \cdot \frac{125}{6} = -\frac{1}{1} \cdot \frac{25}{2} = -\frac{25}{2} = -12,5$$
Ответ: -12,5