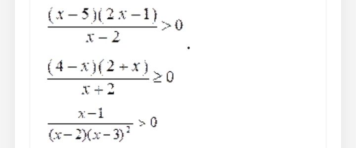
Вопрос:

\frac{(4-x)(2+x)}{x+2} \geq 0

Ответ:

Решим неравенство методом интервалов:

  1. Найдем нули числителя и знаменателя:
    • $$4-x=0 \Rightarrow x=4$$
    • $$2+x=0 \Rightarrow x=-2$$
    • $$x+2=0 \Rightarrow x=-2$$
  2. Отметим найденные значения на числовой прямой:
     +        -        +        
----(--------o--------o-------->
       -2         4
  1. Определим знаки на каждом интервале.
  2. Выберем интервалы, где выражение больше или равно нулю ($$ \geq 0$$).
    При $$x=-2$$ знаменатель обращается в нуль, поэтому эта точка исключается.

Ответ: $$x \in (-\infty; -2) \cup [-2; 4]$$

Смотреть решения всех заданий с листа
Подать жалобу Правообладателю

Похожие