Новые
Конспекты уроков
Таблицы
Банк заданий
Диктанты
Сочинения
Изложения
Краткие содержания
Читательский дневник
Блог
11 класс
Алгебра
Английский
Биология
География
Геометрия
История
Русский
10 класс
Алгебра
Английский
Биология
География
Геометрия
История
Обществознание
Русский
Физика
Химия
9 класс
Алгебра
Английский
Биология
География
Геометрия
Информатика
История
Литература
Математика
Обществознание
Русский
Физика
Химия
8 класс
Алгебра
Английский
Биология
География
Геометрия
Информатика
История
Литература
Математика
Обществознание
Русский
Физика
Химия
7 класс
Алгебра
Английский
Биология
География
Геометрия
Информатика
История
Литература
Математика
Обществознание
Русский
Физика
6 класс
Английский
Биология
География
Информатика
История
Литература
Математика
Обществознание
Русский
5 класс
Английский
Биология
География
Информатика
История
Литература
Математика
Обществознание
Русский
4 класс
Английский
Окр. мир
Информатика
Литература
Математика
Русский
3 класс
Английский
Окр. мир
Информатика
Литература
Математика
Русский
2 класс
Английский
Окр. мир
Литература
Математика
Русский
ГДЗ по фото 📸
Диктанты
Таблицы
Сочинения
Анализ стихотворения
Изложения
Краткие содержания
Читательский дневник
Биография автора
Конспекты уроков
Банк заданий
Пословицы
Блог
Контрольные задания
>
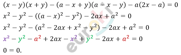
Докажите, что верно равенство (x-y)(x+y)-(a-x+y)(a-x-y)-a(2x-a)=0.
Вопрос:
Докажите, что верно равенство (x-y)(x+y)-(a-x+y)(a-x-y)-a(2x-a)=0.
Ответ:
Сократить
Перефразировать
Добавить текст
Вернуть оригинал
👍
👎
Подать жалобу Правообладателю
ФИО:
Телефон:
Емаил:
Полное описание сути нарушения прав (почему распространение данной информации запрещено Правообладателем):
Похожие
На графике функции y=3x+8 найдите точку, абсцисса которой равна ее ординате.
Турист прошел 50 км за 3 дня. Во второй день он прошел на 10 км меньше, чем в первый день, и на 5 км больше, чем в третий. Сколько километров проходил турист каждый день?
Упростите выражение 7ax^5*(-2a^4x^2).